近日,麻豆在线
荣命哲教授研究团队开发的“气体放电等离子体基础数据”网站正式发布。(网址://plasma-data.net/)
气体放电等离子体涉及电气工程、材料处理、航空航天、生物医学、环境保护等多个学科方向,具有广泛的应用前景,其基础数据包括热等离子体物性参数与辐射系数、冷等离子体化学反应率系数与迁移扩散率等,是科研人员开展仿真模拟、分析测试的前提条件和重要支撑。目前网站已经在电工技术学会公众号和网站、电工技术学报网站、高压电器公众号、高电压技术公众号发布。

气体放电等离子体
麻豆在线
荣命哲教授研究团队长期从事气体放电等离子体相关研究,并主持了国家重点基础研究发展计划项目(973计划)。在2017年科技部973计划项目中期评估会议上,项目责任专家对荣命哲教授团队建立的“气体放电等离子体基础数据库”给予了高度肯定,并提议向国内外同行开放共享。2019年该数据库作为973计划项目的标志性成果之一上报科技部,项目结题验收专家组建议将该数据库以网站形式对外集中开放和免费共享。本网站按照上述建议创建,供广大同行学者参考和使用。
该数据库网站提供了气体放电条件下等离子体物性参数、反应率系数、辐射系数等大量基础数据,气体种类涵盖了空气、SF6、CO2、Ar等常见气体,C4-PFN、C5-PFK、PA46等复杂气体,以及多种气体组成的混合气体,可为开关电弧等离子体、焊接电弧等离子体、等离子体材料处理、等离子体气体转化、等离子体推进、等离子体生物医学等领域的理论研究和产品设计提供数据支持。

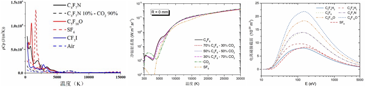
(a)物性参数 (b)辐射系数 (c)碰撞截面
气体放电等离子体的典型基础参数
该数据库网站的相关数据已在研究团队前期发表的40余篇学术论文中报道,被国内外30多家科研单位采用,并服务于多家企业的产品开发,已为平高集团成套开关电器、华为通信基站供电继电器、LSIS气吹断路器、大全集团直流断路器、航空机电充气式接触器等供电设备的仿真与设计提供了重要支撑。

(1)开关电弧等离子体 (2)双频激励冷离子体 (3)等离子体气体转化
等离子体仿真计算结果
“气体放电等离子体基础数据”网站是一个非商业化的公共数据平台,正式发布前经过了一段时间的试运行,未来将不断丰富和完善数据库,更好地服务于本领域的科学研究和技术开发。
本网站的开发得到了科技部973计划、国家自然科学基金创新群体项目、教育部博士点优先领域基金等科研项目的支持。